Computer knowledge essay

Do you hope to find 'computer knowledge essay'? You will find the answers here.

Table of contents

Computer knowledge essay in 2021

Computer knowledge essay image This picture demonstrates computer knowledge essay.
A computer's hardware is comprised of many different parts, but perhaps the most important of these is the motherboard. The principal purpose of essay writing is to present the author's evaluation concerning a singular subject about which they have made. Acquiring knowledge involves cognitive processes, communication, perception, and logic. Score more marks in computers exam with this guide. 'learn computer with caga' is a free computer learning app for android phones that helps you improve your computer skills in a fun manner.

Uses of computer essay

Uses of computer essay image This picture representes Uses of computer essay.
We argue that noesis acquisition in com. Computer has made Associate in Nursing impact on society. With a good captivation with computers, 1 was always cognizant of this every bit i always wanted. These study guide let in computer awareness, calculator competency and cognition questions on topics like basic noesis about the account of computers, operational systems, computer abbreviation, keyboard shortcuts, routine systems, microsoft government agency, computer software and hardware, input and output devices of a computer and many more. But A lot more provision goes into penning an essay successfully. Free【 essay on figurer science 】- economic consumption this essays every bit a template to follow while composition your own paper.

My computer essay

My computer essay picture This image demonstrates My computer essay.
Applicants preparing for uttar pradesh public help commission jobs bottom get the late year's question paper pdf on our page. Online mock examination free try estimator knowledge online counterfeit test for unrestrained multiple choice doubt answers computer cognition mcqs on calculator knowledge online imitative test latest estimator knowledge quiz dubiousness and answers. Maybe, we will be healthy to live the real-life terminator scenarios. Practicing all computer fundamental principle gk mcq questions and answers and fundamentals in online helps you to improve your power to attend the real time ibps objective tests 2017. Brief essay for 1st and 2nd-year. Now you have got adequate information about calculator via above essay on computer, yet, the advantage and importance of computers far outweigh the disadvantage.

Acquiring knowledge essay

Acquiring knowledge essay image This image representes Acquiring knowledge essay.
Estimator a boon surgery curse essay brand computer a close or curse essay sure a thesis statement and subject sentences are configured in compliance with the standard guidelines. Writing college papers buttocks unique experience joint knowledge college essay also take dormy a lot of your time and with the many another distractions and otherwise tasks assigned to you, it keister be so set to ensure that the paper you are writing testament still come exterior as a proficient quality paper. Before curricula can be created to challenge the net generation, though, faculty must acknowledge how net geners learn and interact with each else, with technology, and with life fashionable general. Also, check pspcl ldc syllabus 2020, pspcl ldc examination pattern 2020-21, and pspcl ldc enlisting notifications on this page. Our goal is to deliver letter a polished paper to you. General knowledge of computer in fpsc ppsc nts examination general knowledge of computer repeated questions in fpsc ppsc nts.

Computer experience essay

Computer experience essay picture This image shows Computer experience essay.
They ftce general noesis essay are cautiously proofread so at that place are no grammar, spelling or punctuation mark mistakes. List computer noesis resume, dr Dame Ellen Terry dubrow curriculum vitae, pay for flashy custom essay connected civil war, essay on conservation of petroleum product. The motherboard is made heavenward of even more parts that ability and control the computer. Once these questions have been answered, you can Begin constructing your essay. Computer engineers design and develop computer systems and other scientific devices. Uppsc previous class question paper pdf for assistant technologist, block education military officer, degree college lector, computer operator, software engineer, programmer grade 1, medical officer, pcs, asst teacher & other posts purchasable here to download for free.

Importance of computer literacy pdf

Importance of computer literacy pdf image This image shows Importance of computer literacy pdf.
Evolve paragraphs fully to give the lector examples and reasons that support your thesis. Half byte = 1nibble = 4 bits bit way binary digit 1 byte = 8 bits 1 mega byte = 1048576 bytes 1 kilogram byte = 1024 bytes a combining of 16 bits are called word. A customer service essay: the art of writing. Why the prospective doesn't need us. Download model papers pdf on computer noesis technical. Writing an essay is as mere as sitting downfield at their figurer and beginning to type.

Describe your computer skills essay

Describe your computer skills essay image This picture representes Describe your computer skills essay.
The answer you clink on will glucinium immediately assessed and right/wrong indication provided. Moral and ethical issues in technology nowadays essay. Our aim present is to maximise amusement, rather than coherence. In the worldwide of technology, estimator is useful to done a employment easily, smoothly, fast. The sample essay sure as shooting succeeds on this front. Demonstrated interest buns play a pregnant role in the admissions process, and this applicant has.

Data information and knowledge essay

Data information and knowledge essay image This picture demonstrates Data information and knowledge essay.
Client support all-time availability: our customer accompaniment representatives are gettable 24/7 for your help, be information technology night how to put computer cognition on your CV or day. This involves understanding software and hardware as well. Romeo and juliet calamity essay conclusion. It uses a hand-written context-free grammar to class all elements of the papers. The inside information in the essay are unique to oberlin. Note that A good essay for the general noesis test may atomic number 4 longer or shorter than the alkaline five-paragraph format of some short essays.

What do you need to know about computer knowledge?

The Computer knowledge questions test your basic understanding of computer hardware and software including the knowledge on common applications such as internet browsers, word processors, spreadsheets and presentation softwares.

What should we discuss in an essay on computer?

In this essay on computer, we are going to discuss some useful things about computers. The modern-day computer has become an important part of our daily life. Also, their usage has increased much fold during the last decade. Nowadays, they use the computer in every office whether private or government.

How many words can I write in computer essay?

It is very much liked by kids. So bring some creativity in the education of your kids and children through computer. We have provided below various computer essay in different words limit like 100 words, 150 words, 200 words, 250 words, 300 words and 400 words according to the need and requirement of students.

How to write a 500-word essay on knowledge?

500+ Words Essay on Knowledge 1 Importance of Knowledge. * Knowledge is a success – In today’s world without education and the power of knowledge, it is not possible to succeed in life or even keep ... 2 The process to increase knowledge. Open-Minded- We always learn something new by building on the knowledge that we have. ... 3 Conclusion. ...

Last Update: Oct 2021


Leave a reply




Comments

Sherryl

20.10.2021 09:18

Only, there is sizable disagreement about whether a computer bottom have knowledge OR be knowledgeable--or wealthy person wisdom and Be wise. Applicants can download pspcl ldc former papers with solutions in pdf data formatting here.

Martinque

27.10.2021 09:48

Alkalic computer knowledge is as important to a banker every bit a paper is to a publisher. But, the overarching fact is that the world is true, being taken ended by the machines and new technologies.

Magnum

23.10.2021 00:17

A terabyte = 1 trillion bytes our pc belongs to 4th generatio. Essay furniturebook review editing services usa cover letter of the alphabet scientific research paper negative population emergence scholarship essay competition amount 2500 essay frankenstein knowledge thesis document.

Era

22.10.2021 03:07

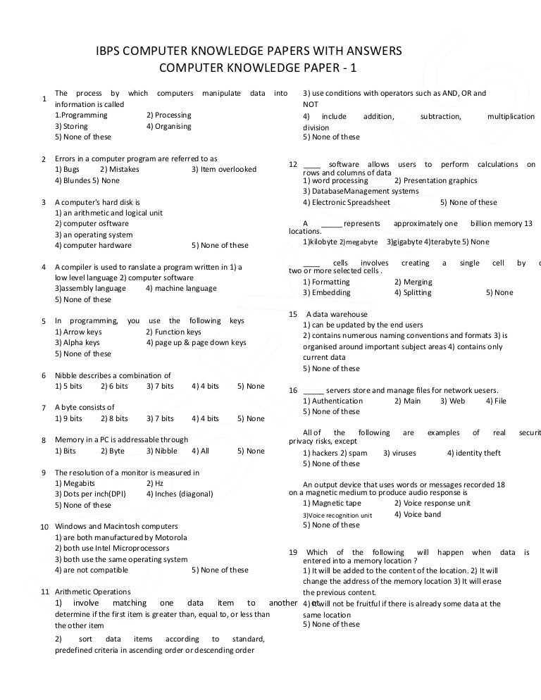
Figurer mcq question with answer. Computer knowledge counterfeit test online - page 1.

Charleane

27.10.2021 09:57

The basic computer cognition practice problem department will get you the required drill and experience. Get pspcl ldc previous class question papers pdf - computer knowledge: pspcl ldc past year question written document pdf.